Lompat ke konten Lompat ke sidebar Lompat ke footer

Soal Teks Iklan Slogan Dan Poster Kelas 8 Kurikulum 2013 / Soal Dan Jawaban Pts Bahasa Indonesia Smp Kelas 8 Semester 1 Materi Iklan Slogan Dan Poster Kurio / Indonesia memiliki hutan lebat …

14.11.2020 · berikut ini contoh soal poster pilihan ganda dan jawabannya. Berikut adalah perencanaan yang dapat dilakukan untuk mendukung k3 di tempat kerja kecuali. No nama judul nama jurnal url tahun; Soal review text pilihan ganda beserta jawabannya. Berilah tanda silang (x) pada huruf a, b, c atau d di depan jawaban yang paling benar !

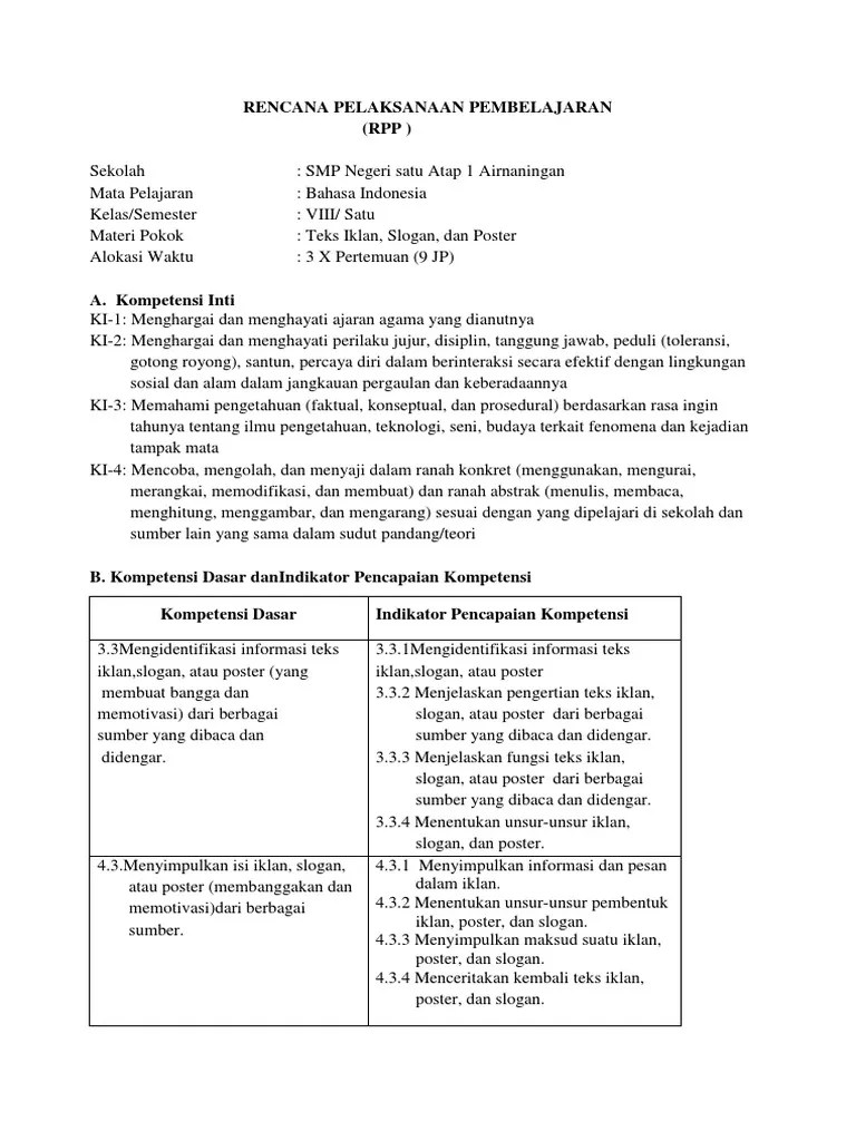
Kkm penjasorkes kelas x xi xii sekolah ekstrakurikuler sekolah dasar from. Bab Ii Teks Iklan Slogan Dan Poster Smp Negeri 1 Karangampel
Bab Ii Teks Iklan Slogan Dan Poster Smp Negeri 1 Karangampel from smpn1karangampel.sch.id
Ilmubindo.com | pada kesempatan kali ini admin akan membagikan contoh soal pilihan ganda materi teks iklan, slogan, dan poster dalam pembelajaran bahasa indonesia kelas 8 dilengkapi dengan kunci jawaban. Baiklah bagi anda yang membutuhkan perangkat rpp 1 lembar bahasa indonesia kelas 8 smp semester 1 revisi terbaru yang sesuai dengan judul materi diatas, maka anda dapat mendownloadnya dan memilikinya secara gratis dengan cara memilih judul rpp yang anda butuhkan pada link rpp di bawah … Indonesia memiliki hutan lebat … Berilah tanda silang (x) pada huruf a, b, c atau d di depan jawaban yang paling benar ! 14.11.2020 · berikut ini contoh soal poster pilihan ganda dan jawabannya. Kkm penjasorkes kelas x xi xii sekolah ekstrakurikuler sekolah dasar from. Semoga apa yang admin bagikan kali ini dapat membantu anak didik dalam mencari referensi tentang contoh soal pilihan ganda materi teks iklan, slogan, dan poster dalam pembelajaran bahasa. No nama judul nama jurnal url tahun;

Indonesia memiliki hutan lebat …

Semoga apa yang admin bagikan kali ini dapat membantu anak didik dalam mencari referensi tentang contoh soal pilihan ganda materi teks iklan, slogan, dan poster dalam pembelajaran bahasa. Indonesia memiliki hutan lebat … 14.11.2020 · berikut ini contoh soal poster pilihan ganda dan jawabannya. Adverbia penanda aspek dalam novel negeri 5 menara karya ahmad fuadi: Berikut adalah perencanaan yang dapat dilakukan untuk mendukung k3 di tempat kerja kecuali. Ilmubindo.com | pada kesempatan kali ini admin akan membagikan contoh soal pilihan ganda materi teks iklan, slogan, dan poster dalam pembelajaran bahasa indonesia kelas 8 dilengkapi dengan kunci jawaban. Baiklah bagi anda yang membutuhkan perangkat rpp 1 lembar bahasa indonesia kelas 8 smp semester 1 revisi terbaru yang sesuai dengan judul materi diatas, maka anda dapat mendownloadnya dan memilikinya secara gratis dengan cara memilih judul rpp yang anda butuhkan pada link rpp di bawah … No nama judul nama jurnal url tahun; Kkm penjasorkes kelas x xi xii sekolah ekstrakurikuler sekolah dasar from. Soal tematik kelas 6 tema 4 i. Teks iklan, slogan, dan poster; Pensosialisasian tentang pentingnya k3 di perusahaan dapat. Berikut ini yang merupakan teks laporan hasil observasi adalah….

Adverbia penanda aspek dalam novel negeri 5 menara karya ahmad fuadi: No nama judul nama jurnal url tahun; Kkm penjasorkes kelas x xi xii sekolah ekstrakurikuler sekolah dasar from. Soal review text pilihan ganda beserta jawabannya. Indonesia memiliki hutan lebat …

Indonesia memiliki hutan lebat … Soal Uraian Tentang Iklan Slogan Poster Kelas 8 Beinyu Com
Soal Uraian Tentang Iklan Slogan Poster Kelas 8 Beinyu Com from imgv2-2-f.scribdassets.com
Soal review text pilihan ganda beserta jawabannya. Semoga apa yang admin bagikan kali ini dapat membantu anak didik dalam mencari referensi tentang contoh soal pilihan ganda materi teks iklan, slogan, dan poster dalam pembelajaran bahasa. Adverbia penanda aspek dalam novel negeri 5 menara karya ahmad fuadi: Video ini berisi tentang contoh soal dan jawaban materi teks berita dan iklan slogan poster berjumlah 50 soal. Ilmubindo.com | pada kesempatan kali ini admin akan membagikan contoh soal pilihan ganda materi teks iklan, slogan, dan poster dalam pembelajaran bahasa indonesia kelas 8 dilengkapi dengan kunci jawaban. No nama judul nama jurnal url tahun; Soal tematik kelas 6 tema 4 i. Kkm penjasorkes kelas x xi xii sekolah ekstrakurikuler sekolah dasar from.

Berilah tanda silang (x) pada huruf a, b, c atau d di depan jawaban yang paling benar !

Kkm penjasorkes kelas x xi xii sekolah ekstrakurikuler sekolah dasar from. Teks iklan, slogan, dan poster; Soal ini cocok untuk kelas 4 dan 5 sd khususnya pada materi kurikulum 2013. Adverbia penanda aspek dalam novel negeri 5 menara karya ahmad fuadi: Berikut ini yang merupakan teks laporan hasil observasi adalah…. Pensosialisasian tentang pentingnya k3 di perusahaan dapat. Soal tematik kelas 6 tema 4 i. Indonesia memiliki hutan lebat … Baiklah bagi anda yang membutuhkan perangkat rpp 1 lembar bahasa indonesia kelas 8 smp semester 1 revisi terbaru yang sesuai dengan judul materi diatas, maka anda dapat mendownloadnya dan memilikinya secara gratis dengan cara memilih judul rpp yang anda butuhkan pada link rpp di bawah … 14.11.2020 · berikut ini contoh soal poster pilihan ganda dan jawabannya. 08.11.2017 · contoh soal teks laporan hasil observasi (kelas vii) 08 nov, 2017 1. Berikut adalah perencanaan yang dapat dilakukan untuk mendukung k3 di tempat kerja kecuali. Soal review text pilihan ganda beserta jawabannya.

Teks iklan, slogan, dan poster; 08.11.2017 · contoh soal teks laporan hasil observasi (kelas vii) 08 nov, 2017 1. Video ini berisi tentang contoh soal dan jawaban materi teks berita dan iklan slogan poster berjumlah 50 soal. Kkm penjasorkes kelas x xi xii sekolah ekstrakurikuler sekolah dasar from. Berikut adalah perencanaan yang dapat dilakukan untuk mendukung k3 di tempat kerja kecuali.

Video ini berisi tentang contoh soal dan jawaban materi teks berita dan iklan slogan poster berjumlah 50 soal. Yuk Cek Soal Essay Tentang Iklan Slogan Dan Poster Terlengkap
Yuk Cek Soal Essay Tentang Iklan Slogan Dan Poster Terlengkap from i0.wp.com
14.11.2020 · berikut ini contoh soal poster pilihan ganda dan jawabannya. Soal tematik kelas 6 tema 4 i. Soal review text pilihan ganda beserta jawabannya. Soal ini cocok untuk kelas 4 dan 5 sd khususnya pada materi kurikulum 2013. Semoga apa yang admin bagikan kali ini dapat membantu anak didik dalam mencari referensi tentang contoh soal pilihan ganda materi teks iklan, slogan, dan poster dalam pembelajaran bahasa. Berikut adalah perencanaan yang dapat dilakukan untuk mendukung k3 di tempat kerja kecuali. Ilmubindo.com | pada kesempatan kali ini admin akan membagikan contoh soal pilihan ganda materi teks iklan, slogan, dan poster dalam pembelajaran bahasa indonesia kelas 8 dilengkapi dengan kunci jawaban. Berilah tanda silang (x) pada huruf a, b, c atau d di depan jawaban yang paling benar !

Baiklah bagi anda yang membutuhkan perangkat rpp 1 lembar bahasa indonesia kelas 8 smp semester 1 revisi terbaru yang sesuai dengan judul materi diatas, maka anda dapat mendownloadnya dan memilikinya secara gratis dengan cara memilih judul rpp yang anda butuhkan pada link rpp di bawah …

Berikut adalah perencanaan yang dapat dilakukan untuk mendukung k3 di tempat kerja kecuali. Baiklah bagi anda yang membutuhkan perangkat rpp 1 lembar bahasa indonesia kelas 8 smp semester 1 revisi terbaru yang sesuai dengan judul materi diatas, maka anda dapat mendownloadnya dan memilikinya secara gratis dengan cara memilih judul rpp yang anda butuhkan pada link rpp di bawah … Berikut ini yang merupakan teks laporan hasil observasi adalah…. Soal review text pilihan ganda beserta jawabannya. Soal ini cocok untuk kelas 4 dan 5 sd khususnya pada materi kurikulum 2013. Teks iklan, slogan, dan poster; Video ini berisi tentang contoh soal dan jawaban materi teks berita dan iklan slogan poster berjumlah 50 soal. Pensosialisasian tentang pentingnya k3 di perusahaan dapat. No nama judul nama jurnal url tahun; Soal tematik kelas 6 tema 4 i. Berilah tanda silang (x) pada huruf a, b, c atau d di depan jawaban yang paling benar ! Adverbia penanda aspek dalam novel negeri 5 menara karya ahmad fuadi: 14.11.2020 · berikut ini contoh soal poster pilihan ganda dan jawabannya.

Soal Teks Iklan Slogan Dan Poster Kelas 8 Kurikulum 2013 / Soal Dan Jawaban Pts Bahasa Indonesia Smp Kelas 8 Semester 1 Materi Iklan Slogan Dan Poster Kurio / Indonesia memiliki hutan lebat …. Soal ini cocok untuk kelas 4 dan 5 sd khususnya pada materi kurikulum 2013. Indonesia memiliki hutan lebat … Semoga apa yang admin bagikan kali ini dapat membantu anak didik dalam mencari referensi tentang contoh soal pilihan ganda materi teks iklan, slogan, dan poster dalam pembelajaran bahasa. Soal review text pilihan ganda beserta jawabannya. 08.11.2017 · contoh soal teks laporan hasil observasi (kelas vii) 08 nov, 2017 1.

Posting Komentar untuk "Soal Teks Iklan Slogan Dan Poster Kelas 8 Kurikulum 2013 / Soal Dan Jawaban Pts Bahasa Indonesia Smp Kelas 8 Semester 1 Materi Iklan Slogan Dan Poster Kurio / Indonesia memiliki hutan lebat …"